Theo thông báo của hãng hàng không Eva Air, từ ngày 20/06 đến ngày 28/6 các chuyến bay của hãng từ sân bay quốc tế Tân Sơn Nhất, TP.HCM đến sân bay quốc tế Đào Viên, Đài Bắc và ngược lại sẽ bị huỷ do tiếp viên đình công.
Được biết, lãnh đạo hãng hàng không Eva Air hiện đang đàm phán với liên đoàn tiếp viên để sớm đạt được kết quả thoả thuận, đưa hoạt động khai thác các chuyến bay Eva trở lại bình thường.
Để chủ động sắp xếp kế hoạch trong việc đi lại của mình, Cảng HKQT Tân Sơn Nhất đề nghị hành khách chú ý theo dõi thông tin về sự kiện này, đồng thời liên hệ với hãng hàng không để được tư vấn và sắp xếp các chuyến bay phù hợp với hành trình cá nhân của mình.
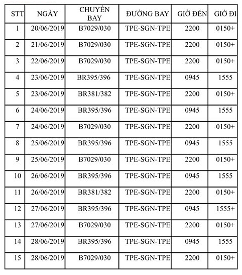
Lịch huỷ chuyến của hãng Eva Air tại Cảng HKQT Tân Sơn Nhất cụ thể như sau:
